Home / Media / News

How CO₂ Gas Sensors Work: NDIR Principle Explained 

Monitoring carbon dioxide (CO₂) is an established requirement in industrial safety systems and in applications where CO₂ concentration is used as a control parameter. Most professional CO₂ sensors rely on NDIR (Non-Dispersive Infrared) technology due to its measurement stability and long service life.

This article explains the NDIR principle, outlines the main advantages and limitations of the method, and compares NDIR with other CO₂ sensing technologies. Examples from the MIPEX NDIR sensor family, including MIPEX-05 and other models, are referenced where relevant.

Why Measuring CO₂ Is Important

Carbon dioxide is a natural component of ambient air, with background concentrations currently around 400–450 ppm. An increase above this level is commonly used as an indicator of insufficient ventilation, accumulation in confined spaces, or unintended release from industrial processes.

In occupied environments, elevated CO₂ concentration is associated with reduced air exchange efficiency and declining cognitive performance. In industrial applications such as food and beverage production, refrigeration systems, laboratories, and CO₂ storage or distribution facilities, high concentrations represent a direct safety hazard and require continuous monitoring.

Reliable CO₂ measurement therefore serves two primary functions: it supports ventilation and process control, and it provides early indication of potentially dangerous conditions. Accurate and stable CO₂ detection is essential for maintaining safe operation and predictable environmental conditions across a wide range of applications.

Overview of CO₂ Detection Technologies

Several sensing principles are used for carbon dioxide measurement. Their applicability depends on required service life, maintenance strategy, and operating environment. In long-term industrial and building installations, optical methods based on infrared absorption are most commonly applied.

TechnologyPrincipleAdvantagesLimitations
ElectrochemicalElectrochemical reaction at the sensing electrodeCompact design, low initial costLimited operational lifetime, sensitivity to environmental conditions
PhotoacousticDetection of acoustic signal generated by infrared absorptionHigh measurement precisionSensitivity to vibration, complex design, high cost
NDIR (Infrared)Measurement of infrared light absorbed by CO₂ moleculesLong service life, stable measurement, low driftHigher initial cost, requirement for optical cleanliness


What Is NDIR Technology?

NDIR (Non-Dispersive Infrared) is an optical gas detection method based on selective absorption of infrared radiation by gas molecules. In the case of carbon dioxide, absorption occurs at a characteristic wavelength of approximately 4.26 micrometers.

An infrared source emits radiation through a measurement path containing the gas sample. As CO₂ concentration increases, a greater portion of the infrared radiation is absorbed, resulting in a reduced signal at the detector. This change in detected intensity is used to calculate gas concentration, typically expressed in parts per million.

The term “non-dispersive” refers to the optical design of the system. Unlike spectroscopic instruments that separate light into a full spectrum, NDIR sensors use optical filters to isolate a narrow wavelength band corresponding to the target gas. This approach enables compact sensor construction, stable long-term operation, and predictable performance in industrial and commercial applications.

How an NDIR CO₂ Sensor Works — Step by Step

An NDIR CO₂ sensor consists of an infrared radiation source, a gas measurement chamber, optical filtering elements, and an infrared detector. The infrared source emits radiation through a defined optical path that is exposed to the ambient air containing carbon dioxide.
As the gas passes through the measurement chamber, CO₂ molecules absorb infrared radiation at their characteristic wavelength. An optical filter ensures that only the wavelength band relevant to CO₂ absorption reaches the detector. The detector, typically a thermopile or infrared photodiode, measures the remaining radiation intensity after absorption.
The reduction in detected infrared intensity is proportional to the CO₂ concentration in the optical path. This signal is processed electronically and converted into a concentration value using a calibrated absorption model based on the Beer–Lambert relationship. Temperature and pressure compensation are applied to maintain measurement stability under varying environmental conditions.

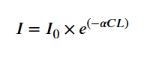
The Physics Behind It: Beer–Lambert Law

NDIR gas measurement is based on the Beer–Lambert law, which describes the attenuation of light as it passes through an absorbing medium:

Where:
  • I₀ = light intensity without CO₂
  • I = light intensity after passing through gas
  • α = absorption coefficient
  • C = concentration of CO₂
  • L = optical path length
In practical NDIR sensors, this relationship allows the concentration of carbon dioxide to be calculated directly from the measured reduction in infrared signal. By fixing the optical path length and wavelength, the sensor converts changes in detected intensity into a stable and repeatable CO₂ concentration value.

Advantages of NDIR CO₂ Sensors

NDIR sensors are widely used in professional gas detection due to their physical measurement principle and long-term stability. Unlike chemical sensing methods, infrared absorption does not consume the sensing element, which defines both performance consistency and service life.


Key technical advantages include high measurement accuracy based on direct CO₂ absorption rather than secondary chemical reactions, predictable long-term stability with minimal drift, and low maintenance requirements since the sensing components are isolated from the gas flow. NDIR sensors are not dependent on oxygen concentration and are largely insensitive to humidity and most airborne contaminants.

The technology supports a wide measurement range, from low ppm levels up to percent concentrations, making it suitable for safety monitoring, process control, and leak detection. Modern implementations also support baseline correction algorithms that compensate for slow optical drift in long-term installations.

In industrial safety applications, these characteristics are realized in compact optical modules such as the MIPEX-05 and related MIPEX NDIR sensor models, which are designed for continuous operation, low power consumption, and integration into fixed gas detection systems. Such sensors are typically used in production facilities, laboratories, storage areas, and other controlled industrial environments where reliable long-term CO₂ monitoring is required.

Limitations of NDIR Sensors

Despite their advantages, NDIR CO₂ sensors have several practical limitations that must be considered during system design and deployment. The optical measurement principle results in a higher initial cost compared to chemical sensor technologies, primarily due to infrared components and optical assemblies.

NDIR sensors require a clean optical path. Dust accumulation, condensation, or contamination of optical surfaces can reduce signal quality and affect measurement accuracy. For this reason, appropriate housing design, filtration, and environmental protection are important, especially in industrial environments.

Infrared absorption measurements are influenced by temperature and pressure variations, which makes compensation algorithms and internal reference measurements necessary for stable operation. Periodic calibration is also required, typically at intervals of six to twelve months, depending on environmental conditions and regulatory requirements.

When these factors are properly addressed at the system level, NDIR sensors provide reliable and repeatable CO₂ measurements over long service lifetimes.

Calibration and Maintenance Best Practices

Regular calibration is required to maintain the accuracy of NDIR CO₂ sensors throughout their service life.

Two calibration approaches are commonly used. Zero calibration is performed using CO₂-free air to correct the baseline offset. Span calibration verifies sensor accuracy using a reference gas with a known CO₂ concentration. The choice depends on regulatory requirements and the operating environment.

Many modern NDIR sensors, including MIPEX-05 and related MIPEX models, support Automatic Baseline Correction (ABC). This function tracks long-term minimum CO₂ levels and compensates slow baseline drift automatically. ABC is effective in applications with regular air exchange but should be disabled in permanently enclosed or industrial safety installations.

Routine maintenance is minimal but important. Optical windows should be kept clean, especially in dusty environments. Silicone-based sealants and outgassing materials should be avoided near the sensor, as they can contaminate optical components. Calibration verification is typically recommended every six to twelve months, depending on operating conditions and compliance requirements.

Applications of NDIR CO₂ Sensors

NDIR CO₂ sensors are widely used in applications where long-term stability, measurement accuracy, and low maintenance are critical. In industrial environments, infrared sensing is considered a reference technology for continuous carbon dioxide monitoring.

In industrial safety systems, NDIR sensors are applied for monitoring CO₂ accumulation in areas where elevated concentrations may pose a health risk. Typical examples include breweries, food and beverage production, refrigeration plants, laboratories, and CO₂ storage or handling facilities. In such installations, sensors based on NDIR technology, including models from the MIPEX family such as MIPEX-05, are used as part of fixed gas detection and autonomous monitoring systems.

NDIR sensors are also employed in controlled process environments. Greenhouse applications use CO₂ measurement to regulate growth conditions, while industrial processes rely on stable CO₂ monitoring for supervision and control tasks where predictable long-term behavior is required.

In building and infrastructure systems, NDIR CO₂ sensors support air quality monitoring and ventilation control. In these applications, measurement stability and low drift are more important than fast response time, which aligns well with the characteristics of optical sensing methods.

Compact NDIR modules are additionally used in distributed monitoring systems where low power consumption and extended operational life are required, such as battery-powered or wireless installations.

NDIR vs Other CO₂ Sensing Technologies

Several technologies are used for carbon dioxide detection, each based on a different physical principle. Their practical suitability is determined by accuracy, stability over time, maintenance requirements, and operating conditions.

NDIR sensors measure CO₂ concentration by infrared light absorption and are widely used in fixed installations where long service life and predictable behavior are required. Electrochemical sensors rely on a chemical reaction and are typically applied in portable devices with limited operational lifetime. Photoacoustic sensors provide very high accuracy but are usually reserved for laboratory or analytical applications due to cost and sensitivity to mechanical influences.

FeatureNDIR (Infrared)ElectrochemicalPhotoacoustic
Detection principleInfrared absorption (optical)Gas–electrolyte reactionAcoustic signal from IR absorption
AccuracyHighMediumVery high
Lifespan10+ years1–2 years5–10 years
Cross-sensitivityLowHighLow
Maintenance needLowHighMedium
Typical applicationsFixed systems, safety monitoring, distributed sensorsPortable detectorsResearch and analytical systems
Cost levelMediumLowHigh

From a system design perspective, NDIR technology offers the best balance between accuracy, long-term stability, and maintenance effort for continuous CO₂ monitoring. This is why it is commonly selected as the reference solution for industrial safety systems, fixed gas detection networks, and autonomous monitoring installations.

Innovations in NDIR CO₂ Sensor Design

Over the past decade, NDIR gas detection technology has evolved significantly, driven by requirements for lower power consumption, higher stability, and easier system integration.

One of the key developments is the use of MEMS-based infrared sources. Compared to traditional filament emitters, they reduce power consumption, improve lifetime, and enable more compact sensor designs. This has made NDIR technology suitable for battery-powered and distributed monitoring systems.

Dual-channel NDIR architectures have become common in modern designs. By using a reference wavelength alongside the CO₂ absorption channel, these sensors compensate for optical aging, contamination, and source intensity drift, resulting in improved long-term accuracy.

Automatic Baseline Correction algorithms have also matured. Advanced implementations, sometimes referred to as ABC+, allow gradual compensation of sensor drift under defined operating conditions, reducing the need for manual recalibration in applications with regular air exchange.

Integration capabilities have expanded alongside sensing improvements. Modern NDIR sensors are increasingly designed with digital interfaces and wireless connectivity options, enabling direct integration into IoT-based monitoring systems. In industrial-grade designs, including MIPEX-based NDIR sensors, these features support long-term autonomous operation with minimal maintenance access.

More recently, data-driven approaches have been introduced. Predictive calibration and diagnostics use historical measurement data to identify drift trends and signal potential maintenance needs before accuracy is affected.

Together, these developments have reinforced NDIR technology as a stable, scalable, and energy-efficient solution for long-term CO₂ monitoring in industrial and safety-critical applications.

Conclusion

NDIR CO₂ sensors have become a core technology for continuous gas monitoring in both infrastructure and industrial safety systems. Their operation is based on a direct physical principle of infrared absorption, which provides stable and reproducible measurement results throughout the sensor’s service life.

Compared to chemical sensing methods, NDIR technology offers higher long-term accuracy, predictable behavior, and significantly lower maintenance requirements. Modern sensor designs support compact form factors, digital interfaces, and low-power operation, simplifying integration into distributed and autonomous monitoring systems.

Understanding the NDIR measurement principle and its practical limitations allows engineers and system designers to select appropriate solutions for reliable, long-term CO₂ monitoring in safety-critical and industrial environments.

1. What does NDIR mean?

NDIR stands for Non-Dispersive Infrared. It is a gas detection method based on measuring infrared light absorption at a specific wavelength characteristic of a target gas.

2. Why are NDIR CO₂ sensors considered more accurate than chemical sensors?

NDIR sensors measure the direct physical absorption of infrared radiation by CO₂ molecules, rather than relying on chemical reactions that degrade over time.

3. What is the typical service life of an NDIR CO₂ sensor?

Under normal operating conditions and with proper maintenance, NDIR sensors typically operate for 10 to 15 years.

4. Do NDIR CO₂ sensors require calibration?

Yes. Periodic calibration is required, although many modern NDIR sensors include Automatic Baseline Correction (ABC) functions that reduce the frequency of manual recalibration.

5. Can NDIR technology be used to detect gases other than CO₂?

Yes. The same infrared absorption principle is used to detect other gases such as methane (CH₄), propane (C₃H₈), and certain refrigerants, each at its specific absorption wavelength.

6. What factors can affect the accuracy of an NDIR sensor?

Optical contamination, temperature variations, and condensation can influence measurements. These effects are typically mitigated through optical design and compensation algorithms.

7. Why is infrared gas detection commonly used in air quality and ventilation systems?

Because NDIR sensors provide stable, selective measurements and are not affected by oxygen concentration or water vapor, making them suitable for long-term monitoring applications.
We use cookies
Cookie preferences
Below you may find information about the purposes for which we and our partners use cookies and process data. You can exercise your preferences for processing, and/or see details on our partners' websites.
Analytical cookies Disable all
Functional cookies
Other cookies
By submitting this form, I confirm that I have read and understood the Privacy Policy. I voluntarily consent to the processing of my personal data (including name, email, phone number, and message content) by MGS Technology for the purpose of responding to my inquiry. Learn more about our cookie policy.
I understand Details
Cookies